Skip to content Skip to sidebar Skip to footer

How Do You Write Decimals In Expanded Form : You'll gain access to interventions, extensions, task implementation guides, and more for this instructional video.

How Do You Write Decimals In Expanded Form : You'll gain access to interventions, extensions, task implementation guides, and more for this instructional video.. In this lesson you will learn to write decimals in expanded notation by dividing by multiplying each digit by a unit fraction. Write decimals in expanded form. To represent the decimals in place value digits by writing the given number in its expanded form. When writing a mixed number as a decimal, the fractional part must be converted to decimal digits. In this lesson you will learn how to read and write numbers to the thousandths in expanded notation using base ten blocks.

You'll gain access to interventions, extensions, task implementation guides, and more for this instructional video. To represent the decimals in place value digits by writing the given number in its expanded form. 5,325 in expanded notation form is 5,000 + 300 + 20 + 5 = 5,325. Tutorial video on how to write a decimal in expanded form (to the hundredths place)the lesson is also part of my yearlong flipped lesson bundle: Arrange the sums of each category in a row, separating them with plus signs.

Easy Guide Writing Numbers In Expanded Form With Decimals Mashup Math
Easy Guide Writing Numbers In Expanded Form With Decimals Mashup Math from images.squarespace-cdn.com
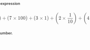
Move the decimal place back and count how many times you had to move it. To write the expanded form of any number, let's see how we use the place value system. Don't forget to check the answer sheet to see how she did. Now the number in scientific notation is x * 10^y. Arrange the sums of each category in a row, separating them with plus signs. You can write numbers using expanded form in multiple ways. What is expanded notation with decimals? (i) 20.03 20.03 writing place value so, 20.03 = 2 × 10 + 0 × 1 + 0 × 𝟏/𝟏𝟎 + 3 × 𝟏/𝟏𝟎𝟎 ex 2.5, 5 write the following decimal numbers in the expanded form:

Whether you're just starting out, need a quick refresher, or here to master your math skills, this is the place for eve.

In this lesson you will learn to write decimals in expanded notation by dividing by multiplying each digit by a unit fraction. The expanded form notation for the decimal numbers is the mathematical expression to show the sum of the values of each digit in the number. If you wanted to write the standard form of the answer, all you would need to do is add the digits together. 8.823 = 8 + 8 10 + 2 100 + 3 1000. 317.29 = 300 + 10 + 7 + 0.2 + 0.09 this strategy applies to all problems that require you to read or write numbers in expanded form. Do the exact opposite with the next set of worksheets! In expanded form of decimal fractions we will learn how to read and write the decimal numbers. Write decimals in expanded form. This worksheet focuses on decimals and how to write them in expanded form using fractions. Answered how to put 412.638 in expanded form using decimals Ex 2.5, 5 write the following decimal numbers in the expanded form: 500 + 30 + 6 + 80 + 2 = 600 + 10 + 8 To represent the decimals in place value digits by writing the given number in its expanded form.

Expanded form in decimals writing decimals in expanded form simply means writing each number according to its place value. We had to move it over to the left 9 times. Do the exact opposite with the next set of worksheets! The integer part of decimal represented by ones, tens, hundreds, thousands, ten thousands, hundred thousands, millions and so on. Digits to the right of the decimal point are less than one and are written as fractions.

Write Decimals In Expanded Form Learnzillion
Write Decimals In Expanded Form Learnzillion from embed-ssl.wistia.com
You'll gain access to interventions, extensions, task implementation guides, and more for this instructional video. 317.29 = 300 + 10 + 7 + 0.2 + 0.09 this strategy applies to all problems that require you to read or write numbers in expanded form. Tutorial video on how to write a decimal in expanded form (to the hundredths place)the lesson is also part of my yearlong flipped lesson bundle: Write 317.29 in expanded form. When numbers are separated into individual place values and decimal places they can also form a mathematical expression. To write the expanded form of any number, let's see how we use the place value system. In expanded form of decimal fractions we will learn how to read and write the decimal numbers. When writing a mixed number as a decimal, the fractional part must be converted to decimal digits.

Writing decimals in expanded form.

5,325 in expanded notation form is 5,000 + 300 + 20 + 5 = 5,325. The hyphen is an important indicator when reading and writing decimals. To write decimals in standard form, move the decimal point to the right until it is at the right of the first nonzero digit. Answered how to put 412.638 in expanded form using decimals This is done by multiplying each digit by its place value and adding them together. In this lesson you will learn how to read and write numbers to the thousandths in expanded notation using base ten blocks. This worksheet focuses on decimals and how to write them in expanded form using fractions. In expanded form, this can be written as. You'll gain access to interventions, extensions, task implementation guides, and more for this instructional video. Write decimals in expanded form. We had to move it over to the left 9 times. Place values up to thousandths are included here making them ideal for 4th grade and 5th grade practice. Write 317.29 in expanded form.

Tutorial video on how to write a decimal in expanded form (to the hundredths place)the lesson is also part of my yearlong flipped lesson bundle: This is done by multiplying each digit by its place value and adding them together. Generally when you write decimals out in words you will say and, and when you write them in numbers you will say point. Ccss.math.content.5.nbt.a.3a study concepts, example questions & explanations for common core: Learn about expanded form with mr.

Write Decimals In Expanded Form Youtube
Write Decimals In Expanded Form Youtube from i.ytimg.com
• write decimals as fractions in expanded form (as noted in the standard). Writing decimals in expanded form. (i) 20.03 20.03 writing place value so, 20.03 = 2 × 10 + 0 × 1 + 0 × 𝟏/𝟏𝟎 + 3 × 𝟏/𝟏𝟎𝟎 ex 2.5, 5 write the following decimal numbers in the expanded form: Whether you're just starting out, need a quick refresher, or here to master your math skills, this is the place for eve. What is expanded notation with decimals? Now the number in scientific notation is x * 10^y. If you wanted to write the standard form of the answer, all you would need to do is add the digits together. 500 + 30 + 6 + 80 + 2 = 600 + 10 + 8

Writing decimals in expanded form simply means writing each number according to its place value.

When writing a mixed number as a decimal, the fractional part must be converted to decimal digits. Now the number in scientific notation is x * 10^y. In this lesson you will learn to write decimals in expanded notation by dividing by multiplying each digit by a unit fraction. If you wanted to write the standard form of the answer, all you would need to do is add the digits together. In expanded form of decimal fractions we will learn how to read and write the decimal numbers. Then, multiply the number by 10 to the power of the negative of the number of spaces the decimal point was moved. Do the exact opposite with the next set of worksheets! (i) 20.03 20.03 writing place value so, 20.03 = 2 × 10 + 0 × 1 + 0 × 𝟏/𝟏𝟎 + 3 × 𝟏/𝟏𝟎𝟎 ex 2.5, 5 write the following decimal numbers in the expanded form: Let's look at an example: The integer part of decimal represented by ones, tens, hundreds, thousands, ten thousands, hundred thousands, millions and so on. Don't forget to check the answer sheet to see how she did. You'll gain access to interventions, extensions, task implementation guides, and more for this instructional video. Expanded form in decimals writing decimals in expanded form simply means writing each number according to its place value.

The expanded form notation for the decimal numbers is the mathematical expression to show the sum of the values of each digit in the number how do you write in expanded form. Then, multiply the number by 10 to the power of the negative of the number of spaces the decimal point was moved.